党中央有关部门,国务院各部委、各直属机构,总后勤部、武警总部,全国人大常委会办公厅,全国政协办公厅,各中央管理企业,各省、自治区、直辖市、计划单列市财政厅(局),新疆生产建设兵团财务局:
国家出资企业在改制、产权转让、合并、分立、托管等方式实施重组过程中,职工安置问题事关有关人员的切身利益、企业的健康持续发展以及构建和谐社会大局。当前,在有关职工安置费用的财务管理中,存在制度不健全、政策不统一、执行不规范等问题,导致国有资产流失和社会分配不公。为进一步规范企业重组行为,正确评估企业净资产价值,维护职工和国有权益,现就涉及产权关系变动、股权结构调整的企业重组中,有关职工安置费用财务管理问题通知如下:
一、企业重组过程中,按照国家有关规定支付给解除、终止劳动合同的职工的经济补偿,以及为移交社会保障机构管理的职工一次性缴付的社会保险费,按照《企业财务通则》(财政部令第41号)第六十条规定执行,其中产权转让的按本通知第七条规定执行。
二、企业重组过程中涉及的离退休人员和内退人员有关费用,应按照“人随资产、业务走”的原则,由承继重组前企业相关资产及业务的企业承担。
企业对上述费用实行预提的,在重组过程中评估企业净资产价值时,根据权责一致原则,对企业资产未来可能实现的收益,也应当予以评估确认。
企业对预提的上述费用不符合本通知规定的,在重组过程中评估企业净资产价值时,应当按照本通知规定予以调整确认。
三、企业重组过程中,对符合重组企业所在设区的市以上人民政府规定的离退休人员统筹外费用,经批准可以从重组前企业净资产中预提,预提年限应当按照中国保监会发布的《中国人寿保险业务经验生命表》计算。
国家对离休人员安置另有规定的,从其规定。
四、企业重组过程中,对符合法律、行政法规以及国务院劳动保障部门规定条件的内退人员,其内退期间的生活费和社会保险费,经批准可以从重组前企业净资产中预提。
内退人员的生活费标准不得低于本地区最低工资标准的70%,同时不得高于本企业平均工资的70%,并应与企业原有内退人员待遇条件相衔接,经职工代表大会审议后,在内退协议中予以明确约定。
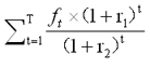
五、重组企业按照本通知第三、四条预提的有关费用,应当分别计算离退休人员和内退人员的预提年限,并以重组基准日相关费用为基数,以同期限历史平均通胀率计算未来各期企业应支付的费用后,再按照同期限银行贷款利率进行贴现计算。预提费用计算公式如下:
六、企业实行分立式重组,将离退休人员和内退人员移交存续企业或者由上级集团公司集中管理的,上述预提费用由重组后企业以货币资金形式支付给管理单位。重组后企业如货币资金不足,可以自重组完成日起5年内分期支付,但应当按照重组基准日5年期银行贷款利率向管理单位支付分期付款的利息。有关利息支出作为重组后企业财务费用处理。
七、企业重组涉及产权转让的,按照本通知第一条、第二条规定应当支付、缴付或者预提的各项职工安置费用,在资产评估之前不得从拟转让的净资产中扣除,也不得从转让价款中直接抵扣,应当从产权转让收入中优先支付。对已经按照《企业会计准则》预提的职工安置费用余额,在资产评估之前应当调增拟转让的净资产。
八、重组企业离退休人员及内退人员的管理单位应当对预提费用实行专户管理,并按约定从专户中向相关人员支付费用。预提资金不足支付相关费用的或者有结余的,按《企业会计准则》的相关规定计入管理单位当期损益。
九、本通知自发布之日起施行。以前各地区、各部门有关财务规定与本通知不一致的,以本通知为准。本通知施行前已经按规定报经批准的企业重组行为与本通知不一致的,不予追溯调整。
财政部
二○○九年六月二十五日


